- Mengetahui prinsip kerja dari sebuah triangle wave generator
- Mampu menentukan parameter yang mempengaruhi sinyal output triangle wave generator
Gelang Warna Resistor
Cara menghitung resistor berdasarkan gelang warna :
- Pita 1 menunjukkan nilai (angka) pertama dari resistansi.
- Pita 2 menunjukkan nilai (angka) kedua dari nilai resistansi.
- Pita 3 menunjukkan faktor pengali atau jumlah angka nol (0) yang digabungan dengan pita 1 dan pita 2.
- Pita 4 menunjukkan nilai toleransi resistor.
- PITA 1 memiliki warna COKLAT. Pada tabel warna, coklat pada pita pertama ialah nilai pertama dari resistor yang menunjukan nilai 1.
- PITA 2 memiliki warna KUNING. Pada tabel warna, kuning pada pita kedua ialah nilai kedua dari resistor yang menunjukan nilai 4.
- PITA 3 memiliki warna MERAH. Pada tabel warna, merah pada pita ketiga ialah faktor pengali yang memiliki nilai 102 atau sama dengan 100.
- PITA 4 memiliki warna EMAS. Pada tabel warna, emas pada pita keempat merupakan nilai toleransi sebuah resistor yang memiliki nilai 5%.
Jadi nilai dari resistor tersebut ialah 14 x 100 = 1.400 Ohm dan memiliki toleransi sebesar 5%.
Operational Amplifier atau lebih dikenal dengan istilah Op-Amp adalah salah satu dari bentuk IC Linear yang berfungsi sebagai Penguat Sinyal listrik. Sebuah Op-Amp terdiri dari beberapa Transistor, Dioda, Resistor dan Kapasitor yang terinterkoneksi dan terintegrasi sehingga memungkinkannya untuk menghasilkan Gain (penguatan) yang tinggi pada rentang frekuensi yang luas. Dalam bahasa Indonesia, Op-Amp atau Operational Amplifier sering disebut juga dengan Penguat Operasional.
Grounding listrik juga bisa diartikan sebagai sistem pertanahan pada suatu instalasi listrik yang mampu meniadakan beda potensial dengan cara mengalirkan arusnya ke tanah atau bumi. Yang dimaksud beda potensial yaitu berupa kebocoran arus listrik atau sambaran petir.
Kapasitor atau kondensator oleh ditemukan oleh Michael Faraday (1791-1867) pada hakikatnya adalah suatu alat yang dapat menyimpan energi/ muatan listrik di dalam medan listrik, dengan cara mengumpulkan ketidakseimbangan internal dari muatan listrik atau komponen listrik yang mampu menyimpan muatan listrik yang dibentuk oleh permukaan (piringan atau kepingan) yang berhubungan yang dipisahkan oleh suatu penyekat.
Cara membaca kapasitor :
1. Ketahui unit pengukuran capacitor
2. Baca nilai kapasitansi
Osiloskop (Oscilloscope) merupakan alat ukur elektronik. Dengan menggunakan alat ukur Oscilloscope ini, kita dapat mengukur frekwensi, periode dan melihat bentuk-bentuk gelombang seperti bentuk gelombang sinyal audio, sinyal video, dan bentuk gelombang Tegangan Listrik Arus Bolak Balik, maupun Tegangan Listrik Arus Searah yang berasal dari catu daya/baterai.
Function Generator adalah alat ukur elektronik yang menghasilkan, atau membangkitkan gelombang berbentuk sinus, segitiga, ramp, segi empat, dan bentuk gelombang pulsa. Yang terdiri dari generator utama dan generator modulasi.
3. Dasar Teori
[kembali]
Triangle Wave Generator atau Pembangkit Gelombang Segitiga umumnya terdiri dari 2 bagian utama. Bagian utama tersebut adalah rangkaian Non-Inverting schmitt triger oleh A1 dan rangkaian integrator yang dibangun oleh A2. Output rangkaian NonInverting schmitt triger pada Triangle Wave Generator atau Pembangkit Gelombang Segitiga ini berupa gelombang kotak yang digunakan untuk driver rangkaian integratorA2.
Rangkaian integrator yang diberi input gelombang kotak akan memberikan output berupa gelombang segitiga dan digunakan untuk umpan balik (feedback ke rangkaian Non-Inverting schmitt triger A1 pada rangkaian Triangular Wave Generator atau Pembangkit Gelombang Segitiga ini sehingga rangkaian NonInverting schmitt triger A1 akan memberikan input ke integrator lagi dan hal ini berulang terus.
Sumber arus AC yang diberikan diubah oleh op-amp yang pertama menjadi gelombang berupa kotak yang dipengaruhi oleh karena adanya penggunaan kapasitor ,sehingga arus disimpan terlebih dahulu dan barulah dilepaskan , kemudian sinyal kotak ini diberikan ke integrator yang akan menjadikan gelombang berbentuk gergaji , hal ini dipengaruhi oleh tahanan yang digunakan pada rangkaian.
Rangkaian pembangkit gelombang segitiga (Triangle Generator) dapat dibuat dari rangkaian ramp generator diseri dengan komparator dan output komparator di-feedback-kan ke input ramp generator.seperti gambar 3a dan bentukgelombang output seperti gambar 3b.
Gambar 3a rangkaian triangle generator
Gambar 3b Bentuk gelombang tegangan output V0
5. Prinsip Kerja
[kembali]
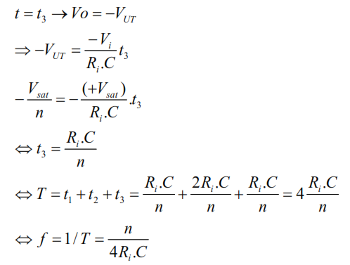
Pada saat tegangan sumber pertama kali diberikan pada rangkaian oscilator gelombang segitiga diatas output rangkaian schmitt trigger akan berada pada kondisi jenuh positif atau negatif.Apabila di asumsikan kondisi output pada output schmitt trigger adalah jenuh positif maka arus listrik mengalir menuju kapasitor C melalui resistor R1 ketika titik A jenuh positif tersebut.Ketika muatan listrik mulai menyimpan di kapacitor,tegangan dari kedua sisi dari kapasitor mulai naik karena jalaur input inverting dari IC2 adalah sekitar 0V,tegangan integrator (titik B) turun secara bertahap.
Tegangan pada titik C juga turun ketika tegangan dari titik B mulai turun.(prresentase penurunan tergantung pada rasio resistor R2 dan R3). ketika tegangan di titik C turun dibawah 0 V,tenganggan input di titik A schmit trigger berubah keminus dengan cepat. Agar tegangan di titik C turun menjadi 0V dibutuhkan nilai R2>R3.Kemudian aliran arus reverse dari kapasitor C ke titik A melalui R1 resistor. Dengan kondidi ini pada titik B naik secara bertahap. ketika tegangan di titik C melebihi 0V,output titik A schmitt berubah menjadi positif dengan cepat sehingga membuat perubahan pada titik B ke arah negative.
Proses diatas berulang terus sehingga membentuk sinyal output gelombang segitiga pad titik B (output 1) dan gelombang kotak pada titik A (output 2) pada rangakaian ocilator gelombang segitiga diatas.
6. Video Simulasi
[kembali] 7. Example dan Problem
[kembali]
1. Pada rangkaian gelombang segitiga di dibawahterdapat waktu naik (tR) dan waktu turun (tF) dimana waktu naik 2ms dan waktu turun 2ms.tentukan frekuensi keluaran tersebut.
Jawab :
100 = 1/4xC1x10 X 10/5
C1 = 5mF
3. Sebuah gelombang segitiga dengan tegangan 25 V memiliki arus 5A.Arus ini melewati hambatan R2=15 ohm dan R3=30 ohm. kapasitornya bernilai 5 F. Tentukanlah frekuensi gelombang segitiga nya
Jawab :
R1 = V/I
= 25 V/5A
= 5 ohm
F = 1/4x5x5 X 15/30
F = 5mHz
1. Pada sebuah gelombang segitiga memiliki nilai resistor R1=
10 Ω,R2=15 Ω,dan R3= 20 Ω.Gelombang tersebut memiliki nilai –Vsat 25 V dan +Vsat 30 V.Tentukanlah tegangan
ambang antar puncak gelombang tersebut.
Jawab :
+ Vt = -Vsat/R3/R2
= -25V/20/25
= -18,8 V
-Vt = +Vsat/R3/R2
= 30V/20/25
= 22,55 V
Tegangan ambang antar puncak
adalah
VH = (+Vt) - (-Vt)
= -18,8
-22.55
= -41,35 V
2. Diketahui sebuah gelombang pembangkit segitiga memiliki kapasitor 5 F dan R1 sebesar 1 ohm. Tegangan ambang terukur adalah sebesar 10 V dan -Vsat sama dengan +Vsat yaitu -2V dan +2V. Tentukanlah satu siklus periode gelombang tersebut.
Jawab :
tR = 10V/-2V X (1x5)
= -25 s
tF = 10V/2V X (1x5)
= 25 s
jadi satu siklus periode
T= tR + tF
= 25 + 25
= 50 s
8. Download
[kembali]






























0 komentar:
Posting Komentar